There are various answers to the title question. IPCC doctrine asserts that not only does more CO2 induce warming, it also triggers a water vapor positive feedback that triples the warming. Many other scientists, including some skeptical of any climate “emergency,” agree some CO2 warming is likely, but doubt the positive feedback, with the possibility the sign is wrong. Still others point out that increases of CO2 lag temperature increases on all time scales, from ice core data to last month’s observations. CO2 can hardly be claimed to cause warming, when CO2 changes do not precede the effect. [See Temps Cause CO2 Changes, Not the Reverse. ]
Below is a post describing how CO2 warming is not only lacking, but more CO2 actually increases planetary cooling. The mathematical analysis reveals a fundamental error in the past and only now subjected to correction.
Fatal Flaw in Earth Energy Balance Diagrams
Prof. Warren Stannard of Western Australia University provides the math analysis to correct the above mistaken energy balance cartoon published in 1997. His paper in Natural Science (2018) is The Greenhouse Effect: An Evaluation of Arrhenius’ Thesis and a New Energy Equilibrium Model. Excerpts in italics with my bolds and exhibits.
Abstract
In 1896, Svante Arrhenius proposed a model predicting that increased concentration of carbon dioxide and water vapour in the atmosphere would result in a warming of the planet. In his model, the warming effects of atmospheric carbon dioxide and water vapour in preventing heat flow from the Earth’ s surface (now known as the “Greenhouse Effect”) are counteracted by a cooling effect where the same gasses are responsible for the radiation of heat to space from the atmosphere. His analysis found that there was a net warming effect and his model has remained the foundation of the Enhanced Greenhouse Effect—Global Warming hypothesis.
This paper attempts to quantify the parameters in his equations but on evaluation his model cannot produce thermodynamic equilibrium. A modified model is proposed which reveals that increased atmospheric emissivity enhances the ability of the atmosphere to radiate heat to space overcoming the cooling effect resulting in a net cooling of the planet. In consideration of this result, there is a need for greenhouse effect—global warming models to be revised.
1. Introduction
In 1896 Arrhenius proposed that changes in the levels of “carbonic acid” (carbon dioxide) in the atmosphere could substantially alter the surface temperature of the Earth. This has come to be known as the greenhouse effect. Arrhenius’ paper, “On the Influence of Carbonic Acid in the Air upon the Temperature of the Ground”, was published in Philosophical Magazine. Arrhenius concludes:
“If the quantity of carbonic acid in the air should sink to one-half its present percentage, the temperature would fall by about 4˚; a diminution to one-quarter would reduce the temperature by 8˚. On the other hand, any doubling of the percentage of carbon dioxide in the air would raise the temperature of the earth’s surface by 4˚; and if the carbon dioxide were increased fourfold, the temperature would rise by 8˚ ” [ 2 ].
It is interesting to note that Arrhenius considered this greenhouse effect a positive thing if we were to avoid the ice ages of the past. Nevertheless, Arrhenius’ theory has become the foundation of the enhanced greenhouse effect―global warming hypothesis in the 21st century. His model remains the basis for most modern energy equilibrium models.
2. Arrhenius’ Energy Equilibrium Model
Arrhenius’ proposed a two-part energy equilibrium model in which the atmosphere radiates the same amount of heat to space as it receives and, likewise, the ground transfers the same amount of heat to the atmosphere and to space as it receives. The model contains the following assumptions:
• Heat conducted from the center of the Earth is neglected.
• Heat flow by convection between the surface and the atmosphere and throughout the atmosphere remains constant.
• Cloud cover remains constant. This is questionable but allows the model to be quantified.
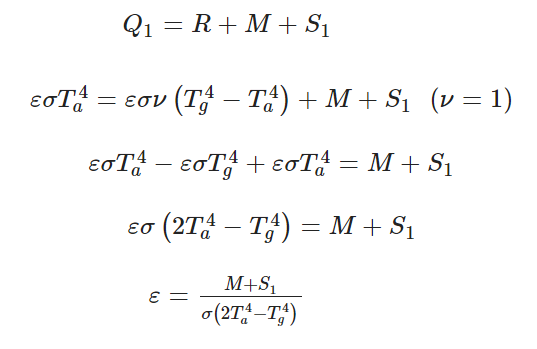
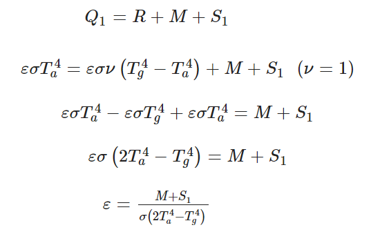
Part 1: Equilibrium of the Air
The balance of heat flow to and from the air (or atmosphere) has four components as shown in Figure 1. The arrow labelled S1 indicates the solar energy absorbed by the atmosphere. R indicates the infra-red radiation from the surface of the Earth to the atmosphere, M is the quantity of heat “conveyed” to the atmosphere by convection and Q1 represents heat loss from the atmosphere to space by radiation. All quantities are measured in terms of energy per unit area per unit time (W/m2).

Figure 1. Model of the energy balance of the atmosphere. The heat received by the atmosphere ( R+M+S1 ) equals the heat lost to space (Q1). In this single layer atmospheric model, the absorbing and emitting layers are one and the same.
Part 2: Thermal Equilibrium of the Ground
In the second part of his model, Arrhenius describes the heat flow equilibrium at the “ground” or surface of the Earth. There are four contributions to the surface heat flow as shown in Figure 2. S2 is the solar energy absorbed by the surface, R is the infra-red radiation emitted from the surface and transferred to the atmosphere, N is the heat conveyed to the atmosphere by convection and Q2 is the heat radiated to space from the surface. Note: Here Arrhenius uses the term N for the convective heat flow. It is equivalent to the term M used in the air equilibrium model.

Figure 2. The energy balance at the surface of the Earth. The energy received by the ground is equal to the energy lost.
3. Finding the Temperature of the Earth
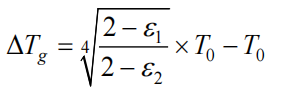
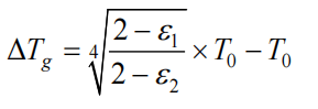
Arrhenius combined these equations and, by eliminating the temperature of the atmosphere which according to Arrhenius “has no considerable interest”, he arrived at the following relationship:
ΔTg is the expected change in the temperature of the Earth for a change in atmospheric emissivity from ε1 to ε2. Arrhenius determined that the current transparency of the atmosphere was 0.31 and, therefore the emissivity/absorptivity ε1 = 0.69. The current mean temperature for the surface of the Earth can be assumed to be To = 288 K.

Figure 3. Arrhenius’ model is used to determine the mean surface temperature of the Earth as a function of atmospheric emissivity ε. For initial conditions, ε = 0.69 and the surface temperature is 288 K. An increase in atmospheric emissivity produces an increase in the surface temperature of the Earth.
Arrhenius estimated that a doubling of carbon dioxide concentration in the atmosphere would produce a change in emissivity from 0.69 to 0.78 raising the temperature of the surface by approximately 6 K. This value would be considered high by modern climate researchers; however, Arrhenius’ model has become the foundation of the greenhouse-global warming theory today. Arrhenius made no attempt to quantify the specific heat flow values in his model. At the time of his paper there was little quantitative data available relating to heat flow for the Earth.
4. Evaluation of Arrhenius’ Model under Present Conditions
More recently, Kiehl and Trenberth (K & T) [ 3 ] and others have quantified the heat flow values used in Arrhenius’ model. K & T’s data are summarised in Figure 4.
The reflected solar radiation, which plays no part in the energy balance described in this model, is ignored. R is the net radiative transfer from the ground to the atmosphere derived from K & T’s diagram. The majority of the heat radiated to space originates from the atmosphere (Q1 > Q2). And the majority of the heat lost from the ground is by means of convection to the atmosphere (M > R + Q2).
Equation (5) Q2=(1−ε)σνT4e(5)
Substituting ε = 0.567, ν = 1.0 and Tg = 288 K we get: Q2=149.2 W/m2
Using Arrhenius value of 0.69 for the atmospheric emissivity Q2 = 120.9 W/m2.
Both values are significantly more than the 40 W/m2 determined by K & T.
The equation will not balance, something is clearly wrong.
Figure 5 illustrates the problem.
Equation (5) is based on the Stefan-Boltzmann law which is an empirical relationship which describes the amount of radiation from a hot surface passing through a vacuum to a region of space at a temperature of absolute zero. This is clearly not the case for radiation passing through the Earth’s atmosphere and as a result the amount of heat lost by radiation has been grossly overestimated.
No amount of adjusting parameters will allow this relationship to produce
sensible quantities and the required net heat flow of 40 W/m2.
This error affects the equilibrium heat flow values in Arrhenius’ model and the model is not able to produce a reasonable approximation of present day conditions as shown in Table 1. In particular, the convective heat flow takes on very different values from the two parts of the model. The values M and N in the table should be equivalent.
5. A New Energy Equilibrium Model
A modified model is proposed which will determine the change in surface temperature of the Earth caused by a change in the emissivity of the atmosphere (as would occur when greenhouse gas concentrations change). The model incorporates the following ideas:
1) The total heat radiated from the Earth ( Q1+Q2Q1+Q2 ) will remain constant and equal to the total solar radiation absorbed by the Earth ( S1+S2S1+S2 ).
2) Convective heat flow M remains constant. Convective heat flow between two regions is dependent on their temperature difference, as expressed by Newton’s Law of cooling1. The temperature difference between the atmosphere and the ground is maintained at 8.9 K (see Equation 7(a)). M = 102 W/m2 (K & T).
3) A surface temperature of 288 K and an atmospheric emissivity of 0.567 (Equation (7b)) is assumed for initial or present conditions.
Equation (9) represents the new model relating the emissivity of the atmosphere ε to the surface temperature Tg. Results from this model are shown in Table 2. The table shows the individual heat flow quantities and the temperature of the surface of the Earth that is required to maintain equilibrium:
The table shows that as the value of the atmospheric emissivity ε is increased less heat flows from the Earth’s surface to space, Q2 decreases. This is what would be expected. As well, more heat is radiated to space from the atmosphere; Q1 increases. This is also expected. The total energy radiated to space Q1+Q2=235 W/m2 . A plot of the resultant surface temperature Tg versus the atmospheric emissivity ε is shown below Figure 6.

Figure 6. Plot of the Earth’s mean surface temperature as a function of the atmospheric emissivity. This model predicts that the temperature of the Earth will decrease as the emissivity of the atmosphere increases.
6. Conclusion
Arrhenius identified the fact that the emissivity/absorptivity of the atmosphere increased with increasing greenhouse gas concentrations and this would affect the temperature of the Earth. He understood that infra-red active gases in the atmosphere contribute both to the absorption of radiation from the Earth’s surface and to the emission of radiation to space from the atmosphere. These were competing processes; one trapped heat, warming the Earth; the other released heat, cooling the Earth. He derived a relationship between the surface temperature and the emissivity of the atmosphere and deduced that an increase in emissivity led to an increase in the surface temperature of the Earth.
However, his model is unable to produce sensible results for the heat flow quantities as determined by K & T and others. In particular, his model and all similar recent models, grossly exaggerate the quantity of radiative heat flow from the Earth’s surface to space. A new energy equilibrium model has been proposed which is consistent with the measured heat flow quantities and maintains thermal equilibrium. This model predicts the changes in the heat flow quantities in response to changes in atmospheric emissivity and reveals that Arrhenius’ prediction is reversed. Increasing atmospheric emissivity due to increased greenhouse gas concentrations will have a net cooling effect.
It is therefore proposed by the author that any attempt to curtail emissions of CO2
will have no effect in curbing global warming.
Summary:
If Stannard is right, then the unthinkable, inconvenient truth is: More CO2 cools, rather than warms the planet. As noted before, we have enjoyed a modern warming period with the recovery of temperatures ending the Little Ice Age. But cold is the greater threat to human life and prosperity, and as well to the biosphere. Society’s priorities should be to ensure reliable affordable energy, and robust infrastructure to meet the demands of future cooling, which will eventually bring down CO2 concentrations in its wake.
Footnote:
A comment below refers to the cartoon image at the top which was an older version of K & T. The more recent version was used by the author and has slightly different numbers. Below is the actual model he analyzed:
I agree that these energy budgets oversimplify the real world, and the author’s intention is not to correct the details, but to show that the models fail when taken at face value. He is focusing on the imbalance arising from applying Stefan-Boltzmann law to an atmospheric planet. As noted below there are other challenging issues such as using the average frequency of visual light for calculating W/m^2, which is not realistic for earth’s LW radiation.







Reblogged this on Climate Collections.
LikeLike
These equations rather seem as over-simplification… The emissivity problem cannot be reduced to one number with linear dependency, but instead it is frequency dependent – various gasses absorb only certain frequencies, i.e. different temperatures of the source of that light…
Which was one of main arguments of recent “warmists”, that CO2 does not block sunlight reaching Earth, but blocks lower frequency (infrared) thermal radiation going back… (but most of these bands are already saturated or blocked by water and thereby any further increase in CO2 content would not change the emissivity much…)
Which is not addressed in this article…
Reducing multi-spectral problem to one small number epsilon, with value something around 0.5 .. 0.7 without any proof or even explanation, why is that value valid, how you measure it and how can it be verified and how it evolves, is a 19th century proto-scientific magick… It’s like Einstein’s tensors, which are not used in practice (for example to calculate gravity), because they are unusable, and without explanation, what each cell of that matrix means and which number should be placed there, are useless magick to obfuscate the deficiencies of the theory…
Constant difference 8.9K between ground and air is also suspicious oversimplification and completely unreal (or is it some average difference of averaged values?)…
How is 168+67 W/m2 of Solar radiation (S2+S1 in Figure 4) related to the 1362 W/m2 Solar “constant”, which is usually averaged to 340.5 W/m2 of Earth surface (i.e. 1/4) ? Where goes the rest of 105 W/m2 ? The “hazard-danger” chart at article title image at least has that 341 W/m2 correct…
πα½
LikeLike
PA, thanks for commenting. See my footnote above.
LikeLike